Introduction
Le direction important dans le diagnostic des vibrations des moteurs à turbine à gaz aéronautique et turbomachines est diagnostics grâce à la modélisation. La modélisation donne une occasion de relier la présence de certains types de défauts de l'appareil avec des signes de sa présence dans le signal de vibration. L'un de ces défauts est apparition de fissures dans les arbres des moteurs d'aviation et turbomachines ce qui est inadmissible. Ainsi, la tâche la plus importante du système de diagnostic est de détecter la fissure dans le temps et prévoir son évolution.
Appearance de fissure dans les résultats de rotor dans la diminution de la raideur locale. Valeur de la perte de rigidité dépend des caractéristiques géométriques de la fissure. Si la charge statique telle que la force de poids est appliquée, fissure ouvre et ferme tandis que le rotor est en rotation. En conséquence, la rigidité de l'arbre change par un cycle. Fissure dans les fils du système de rotor à l' \\ changementsnfollowing dans le signal de vibration [1]:
·increase en amplitude 1x harmonique de la vitesse de rotation en raison de la croissance de déflexion statique due à la diminution de rigidité.
·appearance de 2x composante de vitesse de rotation en raison de la rigidité du rotor asymétrique.
·appearance du composant 3х de vitesse de rotation due à l'ouverture et la fermeture cyclique de la fissure.
Le tâche principale du modèle mathématique est la description de la valeur et la loi de changement auniveau local de la rigidité dans
le lieu wher&101; fissure a lieu compte tenu autant de facteurs que possible.#
sont plusieurs approches de fissure Simuler. Dans le cas de fissure la plus simple est simulé par diminution de la raideur radiale de l'arbre entier [2,3,4]. Dans les autres cas, la partie d'arbre, wher&101; fissure a lieu, est remplac#&101; d par un élément de faisceau équivalent. Les coefficients de la matrice de rigidité d'un tel élément sont calculés en tenant compte de la fissure et en changement par un cycle. Dans le travail [5] calcul de la matrice de rigidité de l'élément de poutre avec fissure est basée sur l'utilisation des moments d'inertie de la section du faisceau considérant fissure. Dans le travail [6] matrice de rigidité d'un tel élément est calculée sur la base des équations de la mécanique de la destruction de corps solides. Fissure peut être simulée par une liaison élastique reliant les sections de délimitation de l'arbre à l'endroit de son emplacement et de donner la rigidité du moment de fissure [7,8].#
Changer de la rigidité de la fissure en fonction de son ouverture et de fermeture alors que le rotor est en rotation peut être décrit mathématiquement de différentes manières. Dans le cas le plus simple, il peut être supposé que la fissuren'a que deux positions: entièrement opened ou complètement fermé, et la fonction d'étape peut être appliqué pour décrire son changement de raideur mathématiquement [4].
Travaillez [3] décrit les modèles les plus écartés du changement de rigidité. L'un d'eux est l'équation Gasch. Change
in rigidité a lieu en fonction de l'angle entre la phase de la force statique et de la phase de fissure et décrit par 17 harmoniques de la série de Fourier. Le même article donne Maeséquation Davies wher&&101; la raideur varie en fonction de l'angle selon la loi du cosinus. Dans les changements du modèle Yang par la loi du cosinus dans le degré de profondeur de fissure relative.#
La article développe le modèle de fissure sur la base de \\ approchesnexisted et présente aussi la méthodologie qui donne l'occasion aux signes de surlignage utilisés pour détecter l'état du rotor exact.
Le algorithme est inclus dans le programme de logiciel R4 Dynamics [9], ce qui représente le dédiéSystème sur le calcul du comportement dynamique des systèmes complexes de rotor.
\\ modèlenCrack
within la conception acceptée de simulation, fissure dans le modèle d'arbre est remplacée par une liaison élastique divisant l'arbre en deux parties et la description par la matrice de rigidité avec la variable coefficients. S'iln'y a pas de crack, condition de compatibilité de tension entre les sections des parties d'arbre est accompli, de sorte que tous les déplacements mutuels sont interdits. Nous introduisons le système de coordonnées en rotation ηOε se trouvant dans la zone de fissure, Figure 1. Son origine coïncide avec l'origine du système de coordonnées XYZ fixe. L'arbre exécute deux mouvements - rotation correcte et précession autour de l'axe Z. Lors de la description fissure l'on considère la rotation autour d'axes que η et e. Désalignements à d'autres degrés de liberté sontnégligés.
figure 1. section Crack
\\ matricenFlexibility de la liaison simulant fissure dans le système de coordonnées de rotation peut être écrit comme
following:
101; &q# j a=-différence de phases, j- \\ angle de rotation de l'arbren, a- angle de précession; g-ee (q )gHH (q )variables coefficients de flexibilité moment- .
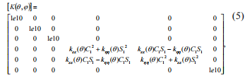
q because tandis que l'arbre est en rotation, fente ouvre et ferme. matrice rigidité est obtenue par inversion de la [GR(q)]matrix, et zéro des coefficients de flexibilité à la tête diagonale principale à l'obtention de coefficients de rigidité allant à l'infini. Nous limitons la valeur de ces coefficients de rigidité par 1е10 Nm; cette hypothèsen'affecte pas de manière significative le résultat, à savoirnous obtenons/
matriceStiffness est transformé en système de coordonnées fixe en utilisant la l'équation suivante:

101; [ &T#]matrice de rotation (4), wher101;C-&1#\\ sous-officiers (j=)S1SIN (j=)
Multiplying matrices en correspondance avec l'équation (3) on obtient:.
Nous réalisons des transformations qui donnent l'occasion de passer à la description plus simple de la fissure
may supposer que la flexibilité radiale du faisceau circulaire avec des changements de fissure de minimum pour la valeur maximale par la loi du cosinus.
101;
g 0 flexibilité de la poutre sans fissure (valeur minimum),&#gcflexibilité de la poutre avec ouverture-crack (valeur maximale).-
Nous remplacer la fissure par une charnière avec une raideur de momentkInit mh . Les conditions aux limites du faisceau doivent fournir sa\\ définissabiliténstatical comme représenté sur la figure 2.

Ensuite flexibilité radiale de l'article mis en évidence de l'arbre avec fissure ouverte est obtenu sous la forme:
101;
E Module d'Young, &I#moment d'inertie diamétrale de la section d'arbre,-kInit-mh \\ coefficientn- de la raideur moment d'une liaison équivalente correspondant à la fissure complètement ouverte.

Profession: Product manager
département: Market Department
Téléphone de l'entreprise: +86 021-59150215
E-mail: Contactez nous
Téléphone portable: +86 13817160919
Site Internet: lanzhusuperalloy.frainfo.com
Adresse: No. 2800 Caoxin Road, Xuhang Town, Jiading District, Shanghai